Azadi Gathui
Product Design & Analyst Portfolio 2026
Professional
Experience
Projects
Energy & Data Visualisation
The Price of Power
Energy & Affordability
B2B Fintech
Financial inclusion at the Last Mile
Mobile application research & design
Accessibility & Inclusivity
Inclusive Africa Conference
Accessibility conference booklet
Energy
Kenya Energy Atlas
Consolidated research publication
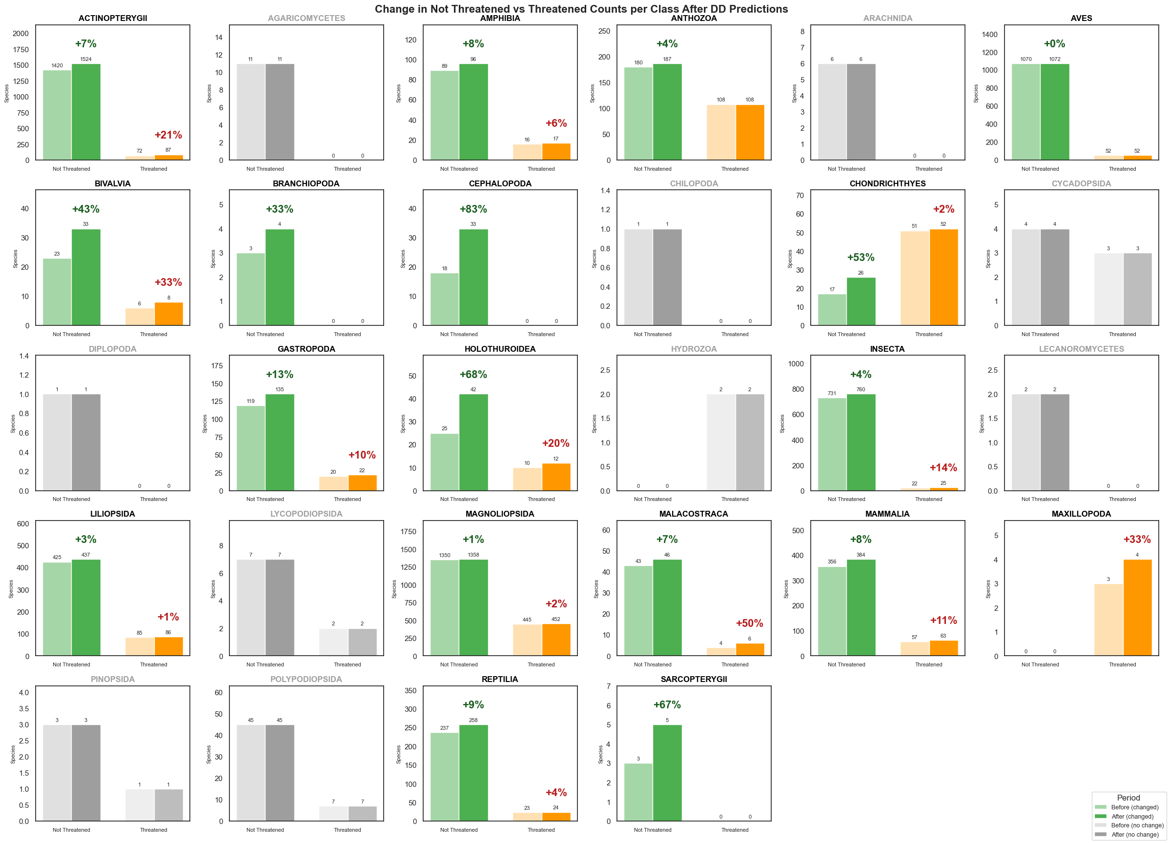
Conservation / Data Science
Predicting Threat Status for Kenya's Data Deficient Species
Machine learning for biodiversity conservation